首先,大家应该思考一个问题:为什么我们一般在挑选基金时都会去看其过去三年的历史表现?在金融投资行业,三年历史业绩就像一个业界标准,被很多机构普遍接受。晨星在给任何一个基金评分前,有一个基本要求是基金的年龄在3年以上,否则不予评级。很多大机构投资任何一个基金的最低标准之一就是该基金有三年以上的可供审计的历史业绩。学过统计学的朋友们一定都记得,如果一个分布服从正态分布,那么根据大数定理,其样本量最少需要30个。3年,涵盖了36个月的历史回报记录,刚刚超过最小样本量30的要求。这就是3年业绩这个神奇数字的由来。这个逻辑的前提是,基金经理的月回报符合“正态分布”。但事实上,没有证据表明基金经理的历史回报是正态分布的。
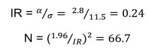
从长期来看,基金经理的业绩主要来自于他/她是否能够创造超额回报(阿尔法)。但是如果我们只看其短期业绩,那么他/她的回报则在很大程度上受到波动率(运气)的影响。对于一个基金经理来说,基金经理的信息比率能科学的判断出他的真实技能。一个好的基金经理,超额收益应该大于零。假设有一个基金经理能够创造的阿尔法为2.8%,年波动率为11.5%,那么根据上面提到的公式,该基金经理的IR为2.8%/11.5%=0.24。各类研究表明,信息比率为0.3的基金经理排名就可以达到该国所有基金经理的前10%或前25%,因不同国家和时期的样本不同而有所差异。

为达到95%的置信水平,需要T检验的相应界值为1.96。依据0.24的信息比率,需要的观察样本数量(N)大约是66.7。换句话说,我们需要该基金经理过去67年的投资数据才有95%的信心确认该经理真正有投资水平而不只是运气好而已。通俗地讲,一个信息比率为0.24的基金经理,其投资能力在统计意义上和猴子扔硬币去选股没有任何区别。

投资界的神话,彼得林奇(Peter Lynch)从1978年开始管理富达麦哲伦基金,直至1990年退休。在这13年中,林奇先生平均每年超过基准(标准普尔500指数)的收益为13.3%,年波动率大约13.3%。因此,林奇先生的信息比率IR是1。在这种情况下,我们需要观察的最低样本量为4,也就是4年的真实投资记录。从这个意义上来说,林奇通过了统计测算,确实是有真正投资水平的“股神”。 而在林奇退休后,麦哲伦基金的规模由于林奇的声名在外迅速增长,但该基金的回报却差强人意。在1990到2004年间,该基金的超额回报只有每年0.7%,信息比率IR为0.12,让很多投资者感到失望透顶。
综上:
1)基金经理创造的历史业绩,同时受到其投资水平(阿尔法)和运气(波动率)的影响。要想客观的评判一个基金经理的投资技能,我们就需要用科学的方法将技能和运气分开,这样我们才可能挑到那些真正有技能的基金经理。
2)如果想要科学的判断基金经理真实的投资技能,过去三年的历史业绩远远不够。仅凭这些历史记录去挑选基金,投资者无疑是在“瞎选”。
3)有时候即使有基金经理通过了统计测算,被证明确实有能力创造“阿尔法”,投资者也未必能从他们身上赚钱。很大程度上,这取决于投资者的购买时机。
4)如果没有足够的金融知识,资源和信息去科学严谨的分析基金经理的投资能力,那么更好的选择是放弃选择主动型基金,购买并长期持有低成本指数基金(ETF)。这才是真正的大智慧。
