5年期国债期货转换因子和应计利息计算公式

来源: 作者: 日期:2016-03-21

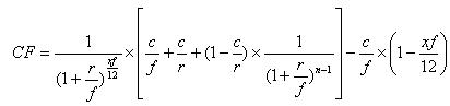
国债期货可交割国债的转换因子和应计利息计算公式公布如下:

  一、转换因子

  转换因子计算公式如下:

   

 

  其中,r:5年期国债期货合约票面利率3%;

     x:交割月到下一付息月的月份数;

     n:剩余付息次数;

     c:可交割国债的票面利率;

     f:可交割国债每年的付息次数。

  计算结果四舍五入至小数点后4位。

  二、应计利息

  应计利息的日计数基准为“实际天数/实际天数”,每100元可交割国债的应计利息计算公式如下:

 

 

   计算结果四舍五入至小数点后7位。 

    A+
声明:本文转载自其它媒体,转载目的在于传递更多信息,并不代表赞同其观点和对其真实性负责。