第一部分 国债ETF基础知识
1、 国债ETF的基本情况?
2、 国债ETF有什么特点?
3、 国债ETF有什么功能?
4、 怎样才能持有国债ETF?
5、 国债ETF手续费如何?
6、 国债ETF的交易规则?
7、 国债ETF的交易策略都有哪些?
8、 国债ETF持仓情况如何?
9、 国债ETF未来操作策略?
10、 如何测算国债ETF的每日仓位?
11、 国债ETF成分债券的剩余期限?
12、 国债ETF申购和赎回上限?
13、 赎回量超过赎回上限的剩余额度时如何处理?
14、 申购国债ETF的清算交收和补券规则?
15、 赎回国债ETF的清算交收规则?
16、 什么是预估现金和现金差额?
17、 国债ETF的申赎清单在哪里看?
18、 国债ETF的做市商安排?
19、 国债ETF的分红安排?
20、 可否融券卖出国债ETF?
1、 国债ETF的基本情况?
国债ETF(511010)是跟踪上证5年期国债指数的债券ETF,主要投资于标的指数成份国债和备选成份国债,采用优化抽样复制法跟踪指数,日均跟踪偏离度的绝对值不超过0.2%,年化跟踪误差不超过2%。上证5年期国债指数每季度调整一次(国债期货交割月的第二个周五后首个交易日)成分券,满足条件的新发券次日进入指数也会产生临时调整。
2、 国债ETF有什么特点?
门槛更低:10000元起买入,100万起申购,低于银行间1000万元的交易门槛;
竞价交易:国债ETF(511010)在上交所挂牌,可实现竞价交易,产生连续的价格;
流动性好:上市至8月底,日均交易量6.67亿元,在ETF同期日均交易量中排名第3;
透明度高:每日PCF清单公布持仓明细及权重;
无违约风险:银行间存在违约风险,国债ETF由交易所撮合交易,无违约风险
可融资融券:目前国债ETF可回购质押,放大倍数与国债一致,达到要求后国债ETF可融券,国债则无做空工具。
3、 国债ETF有什么功能?
国债ETF(511010)是国内首只国债ETF,具备T+0交易功能,可当日申购赎回、买入卖出,或申购卖出、买入赎回;可进行回购质押,标准券折算率维持在94%以上,放大倍数与国债一致;可以对接国债期货,成为国债期货套利的理想现货选择。国债期货的这些基础功能为国债ETF丰富的交易策略打下了基础。参看问题7。
4、怎样才能持有国债ETF?
申购或买入国债ETF份额后可持有国债ETF。国债ETF的最小申购赎回单位为1万份,净值约为100元,因此申购的对象一篮子国债ETF大约价值100万元。申购可以以成分国债申购,也可以用现金申购,100%使用现金也可以,申购和赎回代码均为511011。还可以买入国债ETF,最低交易门槛为1手,1手为100份,1份约为100元,1手约为10000元,买入卖出代码均为511010。
5、 国债ETF手续费如何?
(1)国债ETF(511010)的相关费用包含管理费0.3%/年,托管费0.1%/年;(2)申购赎回费合计不超过0.4%,如同佣金的商谈一样,可与所在证券公司商谈收取水平;(3)交易佣金可参照债券的0.02%甚至更低水平收取。
6、 国债ETF的交易规则?
国债ETF采取T+0交易策略,即T日可申购,T日确认份额,T日可赎回;T日可买入国债ETF份额,T日可卖出;T日可申购份额,T日可卖出,T日买入,T日亦可赎回。T日卖出国债ETF的资金T日可用,T+1日可提现;T日赎回国债ETF可实时获得国债ETF的成分债券,T日卖出债券后资金可用。如果交易所债券流动性不足,需要T+1日转托管至银行间债券市场卖出债券。
7、 国债ETF的交易策略都有哪些?
(1)大类资产配置策略:T+0的机制使得交易流程更为便捷,使投资者可以在高风险资产、低风险资产之间自由切换,提升资金使用效率;国债ETF收益波动率很低,上证5年期国债指数的波动率为2.75%,大大低于国内股票指数平均20%的波动率;上证5年期国债指数2008-2012的平均年化收益率为4.6%,超越活期甚至定存收益。
(2)回购质押放大策略:国债ETF可放大的倍数等同于国债,国债ETF的标准券折算率又高于一般国债,因此可结合其他策略放大国债ETF,获取超额收益。
(3)一二级市场套利:由于ETF的特殊机制,一级市场实物申赎,二级市场现金买卖。当二级市场出现折溢价时,可以通过一、二级的交易,获得套利收益。国债ETF市场价格高于样本券组合的市场价格时,投资者可以买入一篮子债券,申购国债ETF份额,并在市场卖出;国债ETF市场价格低于样本券组合的市场价格时,投资者可以赎回ETF,获得一篮子债券,并在市场卖出。
(4)跨市场套利:由于国债在交易所和银行间两个市场长期分隔,且交易所国债流动性较差,因此造成同一只国债在两个市场出现价差,可以利用国债ETF跨市场的特性进行套利。当国债ETF成分券在银行间价格低于交易所的价格时,投资者可以在银行间买入成分券,并将成分券托管至交易所,申购ETF份额,在交易所市场卖出。当成分券在银行间价格高于交易所价格时,投资者可在二级市场买入ETF份额、赎回并将赎回的券转托管至银行间市场,卖出成分券。 如果为了防范转托管T+1日价格波动的风险,可在买入低价格债券的同时开出国债期货空单,在卖出债券获取套利收益时平仓期货。
(5) 对接国债期货:期现套利和基差交易。详情见后。
8、 国债ETF持仓情况如何?
截至2013年9月5日,持仓如下:

9、 国债ETF的未来操作策略?
基本上会延续上述持仓情况:5券并行,权重相近,便于申赎;预计该操作策略将持续3-6个月左右,也可能会随着国债期货的上市略作调整,但操作风格将保持统一,以便投资者操作。便利性与跟踪误差不可兼得,与国债期货未上市前相比,有可能出现跟踪误差扩大的情况,但跟踪误差肯定保持在合同约定范围内。
10、如何测算国债ETF的每日仓位?
从外部难以测算。
11、国债ETF成分债券的剩余期限?
截至2013年9月5日,13国债01剩余期限4.35年,13国债03剩余期限6.39年,13国债08剩余期限6.62年,13国债13剩余期限4.73年,13国债15剩余期限6.85年。
12、国债ETF申购和赎回上限?
截至2013年9月5日,申购上限为3亿元,赎回上限为1.4亿元,但申赎上限会随实际情况改变而改变。
13、赎回量超过赎回上限的剩余额度时如何处理?
会被交易所判定交易失败。如赎回上限1.4亿元,已被赎回1.3亿元,剩余1000万。此时有两个客户,一先一后提交了2000万的赎回申请和1000万的赎回申请,2000万将被上交所判定失败,实时返回券商交易系统,1000万申请成功。
14、申购国债ETF的清算交收和补券规则?
投资人申购本基金时,须根据申购赎回清单备足申购对价,本基金的申购对价包括成分国债(全现金替代则不需要成分国债)、现金替代(成分国债的现金以及保证金率现金)、预估现金差额,如果申购对价不足申购申请将失败。登记机构在T 日收市后为投资人办理基金份额与组合证券的清算交收以及现金替代等的清算,在T+1 日办理现金替代等的交收以及现金差额的清算。由基金管理人与申购赎回代理券商于T+2 日进行现金差额的交收。T+3日内,基金管理人将以收到的替代金额买入被替代的部分证券。
T+3 日日终,若已购入全部被替代的证券,则以替代金额与被替代证券的实际购入成本(注,含交易等费用)的差额,确定基金应退还投资人或投资人应补交的款项;若未能购入全部被替代的证券,则以替代金额与所购入的部分被替代证券实际购入成本加上按照T+3日的估值全价(即T+3日的估值净价与T+3日应计利息之和)计算的未购入的部分被替代证券价值的差额,确定基金应退还投资人或投资人应补交的款项。
T+3日后第1个工作日,基金管理人将应退款和补款的明细数据发送给申购赎回代理券商和基金托管人,相关款项的清算交收将于T+4日与券商完成。
15、赎回国债ETF的清算交收规则?
赎回对价是指基金份额持有人赎回基金份额时,基金管理人应交付给赎回人的组合证券、现金替代、基金份额持有人应收或应付的现金差额及其他对价。基金份额持有人提交赎回申请时,必须持有足够的基金份额余额和现金,否则所提交的申购、赎回申请无效。投资人 T 日赎回成功后,登记机构在T 日收市后为投资人办理基金份额与组合证券的清算交收以及现金替代等的清算,在T+1 日办理现金替代等的交收以及现金差额的清算。由基金管理人与申购赎回代理券商于T+2 日进行现金差额的交收。
16、什么是预估现金和现金差额?
PCF清单中提到的预估现金部分是指由基金管理人估计并在T 日申购赎回清单中公布的当日现金差额的估计值,预估现金部分由申购赎回代理券商预先冻结。
现金差额的数值可能为正、为负或为零。在投资人申购时,如现金差额为正数,则投资人应根据其申购的基金份额支付相应的现金,如现金差额为负数,则投资人将根据其申购的基金份额获得相应的现金;在投资人赎回时,如现金差额为正数,则投资人将根据其赎回的基金份额获得相应的现金,如现金差额为负数,则投资人应根据其赎回的基金份额支付相应的现金。
17、国债ETF的申赎清单在哪里看?
国泰基金官方网站,页面右下方红色横条“我的关注”,下拉页面,点击“ETF申购赎回”,点击“国泰国债ETF申赎清单”旁边的“查看详情”。
18、国债ETF的做市商安排?
国债ETF为了更好的配合国债期货,也引入了做市商机制,未来将保障ETF的折溢价稳定,便于对接国债期货。
19、国债ETF的分红安排?
基金收益评价日核定的基金收益率超过标的指数同期收益率达到0.1%以上,方可进行收益分配,一年分红不超过4次,上一次分红除息日为6月3日,每10份分红2.8元。分红无特殊规律。
20、可否融券卖出国债ETF?
国债ETF目前暂时还不具备融券做空功能。根据交易所的规定,当国债ETF满足上市交易超过三个月,并近三个月内的日平均资产规模不低于20亿元;基金持有户数不少于4000户后即可以纳入融资融券标的。随着国债期货的推出,会有更多的投资者参与到国债ETF之中,国泰国债ETF一旦满足上交所的相关规定,就会尽快提出相关申请以成为融资融券标的,为投资者提供进行卖出基差套利的工具。目前国债ETF(511010)是最有希望达成该条件的国债ETF。
第二部分 国债ETF对接国债期货
1、转换因子是什么,怎么计算?
2、基差是什么,如何计算?
3、国债ETF的基差如何计算?
4、国债ETF对接国债期货中的应计利息的问题?
5、如何利用国债ETF和国债期货进行期现套利?
6、如何利用国债ETF和国债期货进行基差套利?
7、基差的特点?
8、国债期货上市初期,进行什么类型的交易机会较多?
9、不能参与银行间市场的中小投资者应该如何构建国债现货组合?
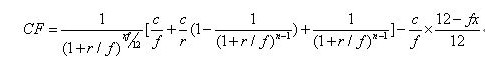
1、转换因子是什么,怎么计算?
可交割债券和名义标准券之间的价格通过一个转换比例进行换算,这个比例就是通常所说的转换因子。转换因子的计算是面值1元的可交割国债在其剩余期限内的所有现金流量按国债期货合约票面利率折现的现值,这是国债期货合约中最重要的参数之一。国债期货转换因子的具体计算公式如下:

其中:
r表示国债期货标的票面利率,目前定为3%;
x表示交割月距离下一个付息月的月份数(当交割月是付息月时,x=6或12);
n表示剩余付息次数;
c表示可交割券的票面利率;
f表示可交割券每年的付息次数。
国际期货市场中,一般都由期货交易所定时公布国债期货可交割国债的转换因子,投资者只需查询交易所公告即能得到每一个可交割国债的转换因子。
2、基差是什么,如何计算?
最便宜可交割券(或其他可交割券)与经转换因子调整后国债期货价格间的差异就是基差,用式子表示如下:
基差=现券价格-期货价格*转换因子
基差交易者时刻关注期货市场和现货市场间的价差变化,积极寻找低买高卖的套利机会。做多基差,即投资者认为基差会上涨,现券价格的上涨(下跌)幅度会高于(低于)期货价格乘以转换因子的幅度,则买入现券,卖出期货,待基差如期上涨后分别平仓;做空基差,即投资者认为基差会下跌,现券价格的上涨(下跌)幅度会低于(高于)期货价格乘以转换因子的幅度,则卖出现券,买入期货,待基差如期下跌后分别平仓。
3、国债ETF的基差如何计算?
个券基差=现券价格-期货价格*转换因子
国债ETF基差=(国债ETF最小申购赎回单位资产净值-应计利息)-成分券经转换因子折算的标准券数量*期货价格。
4、 国债ETF对接国债期货中的应计利息的问题?
国债ETF跟踪的是5年期国债指数(净价),是净价指数,国债期货也是净价运行的。但是国债ETF在日常运作中无法做到净价跟踪,因为每日有应计利息。目前国债ETF成分券有5只,详见第一部分问题8。

第n只券的权重=第n只券的手数/总手数
5、如何利用国债ETF和国债期货进行期现套利?
通过比较最便宜可交割券(或其他可交割券)与经转换因子调整后国债期货价格间的差异(基差),利用到期日两者价格趋于收敛的趋势,进行相应的买入基差/卖出基差操作以获取无风险收益。投资策略: 基差为负时:买入基差操作,建立国债现货多头,建立国债期货空头,锁定负基差,当组合持有到期时基差上升至趋于零,获取收益。基差为正时:卖出基差操作,建立国债现货空头,建立国债期货多头,锁定正基差,当组合持有到期时基差下降至趋于零,获取收益。

相对于利用单只债券进行期现套利,针对ETF进行套利在操作上有一定的特殊性:国债ETF是一篮子可交割券的组合,要根据市场行情数据,计算国债ETF相对国债期货合约的基差,因此关注的重点是组合的基差,而不是个券的基差。
风险提示:卖出基差交易中,由于期货方可任意选择CTD券进行交割,CTD券一般都是最便宜的,交割券的卖出价格可能低于买入国债ETF的价格,导致套利出现亏损。
国债期货上市初期, 如果出现负基差,可进行买入基差操作,持有到期交割,获取无风险收益。
6、如何利用国债ETF和国债期货进行基差套利?
基差交易的基本原理与期现套利一致,也是通过观测最便宜可交割券(或其他可交割券)与经转换因子调整后国债期货价格间的差异(基差),对其变化趋势进行判断,不同于期限套利的持有到期操作。针对国债ETF的一篮子可交割券组合,根据市场行情数据,实时计算国债ETF相对各国债期货合约的基差。通过对于基差的历史均值的分析,预期组合的基差会扩大时,买入国债ETF现货,同时卖空相应数量国债期货合约,预期组合的基差会缩窄时,融券卖空国债ETF现货,同时买入相应数量国债期货合约,根据基差波动方向及市场情形及时平仓 。

相对于利用单只债券进行期现套利,针对ETF进行套利在操作上有一定的特殊性:国债ETF是一篮子可交割券的组合,要根据市场行情数据,计算国债ETF相对国债期货合约的基差,因此关注的重点是组合的基差,而不是个券的基差。
风险提示:卖出基差交易中,由于期货方可任意选择CTD券进行交割,CTD券一般都是最便宜的,交割券的卖出价格可能低于买入国债ETF的价格,导致套利出现亏损。
国债期货上市初期, 如果出现负基差,可进行买入基差操作,持有到期交割,获取无风险收益。
6、如何利用国债ETF和国债期货进行基差套利?
基差交易的基本原理与期现套利一致,也是通过观测最便宜可交割券(或其他可交割券)与经转换因子调整后国债期货价格间的差异(基差),对其变化趋势进行判断,不同于期限套利的持有到期操作。针对国债ETF的一篮子可交割券组合,根据市场行情数据,实时计算国债ETF相对各国债期货合约的基差。通过对于基差的历史均值的分析,预期组合的基差会扩大时,买入国债ETF现货,同时卖空相应数量国债期货合约,预期组合的基差会缩窄时,融券卖空国债ETF现货,同时买入相应数量国债期货合约,根据基差波动方向及市场情形及时平仓 。
相对于持有到期的期现套利来说,国债ETF流动性和实时报价更适用于基差交易,通过基差波动获得利润。我们利用仿真交易的数据进行了买入基差交易的测算。ETF模拟建仓成分券选择13付息国债03、13付息国债08、13付息国债13、13付息国债15选用了成分券的银行间报价的中间价。期货合约选取TF1309的仿真交易报价。时间范围:2013年07月17日——2013年08月16日 ;选用了15分钟的相对高频数据。

虽然在这段时期内,期货和现货都呈现趋势性向下的行情,但基差始终在一定范围内波动(-0.1-0.8),均值为0.38。若以0.2为买入点,0.56为卖出点,市场总共出现过三次机会。总共收益为1.04%(0.36/103*3)。103中100元为国债ETF成本,3为保证金。
7、基差的特点?
一.负基差较少出现。采用ETF模拟建仓测算时,持仓都为在银行间流动性较好的标的券,标的券的基差在整个观测期间内多数时间都为正,通过买入基差进行期现套利机会较少。此外根据海外相关经验,由于套保需求较多,出现负基差的机会也相对较少。
二.基差容易出现波动。由于期货和现货的参与主体不同,对相同的市场信息做出的反应不会完全一致,所以短期内两者的价格走势会出现偏离,但无风险套利原理有使得两者的定价偏离会回到一个相对确定的水平。相对于正向期现套利的机会难觅与反向期现套利的工具难寻,我们认为基差交易将会是市场关注的一个重点。
8、综上所述,国债期货上市,进行什么类型的交易机会较多?
(1)虽然从仿真期货和国债ETF模拟情况来观测,从海外经验来看,负基差出现机会不多,但是国债期货上市初期,可能出现负基差,那么应该采用期现套利交易中的买入基差交易,持有到期,进行交割,获得无风险收益;
(2)如果国债期货上市后,以正基差为主,但过程中出现基差扩大的情况,可参照基差交易中的买入基差交易,在基差较小时买入国债ETF,卖空国债期货,基差较大时卖出国债ETF,平仓国债期货,获取套利收益。
9、不能参与银行间市场的中小投资者应该如何构建国债现货组合?
中小投资者可以选择国债ETF作为国债现货对接国债期货。国债ETF有以下优势,可以帮助投资者迅速有效构建国债现货组合。
门槛更低:10000元起买入,100万起申购,低于银行间1000万元的交易门槛;
流动性好:上市至8月底,日均交易量6.67亿元,在ETF同期日均交易量中排名第3;
透明度高:每日PCF清单公布持仓明细及权重,清晰可见;
无违约风险:银行间存在违约风险,国债ETF由交易所撮合交易,无违约风险
可融资融券:目前国债ETF(511010)可回购质押,放大倍数与国债一致,达到要求后国债ETF可融券,国债则无做空工具。
